The Simons Observatory: Quantifying the impact of beam chromaticity on large-scale B-mode science

Image credit: Figure 8

Abstract

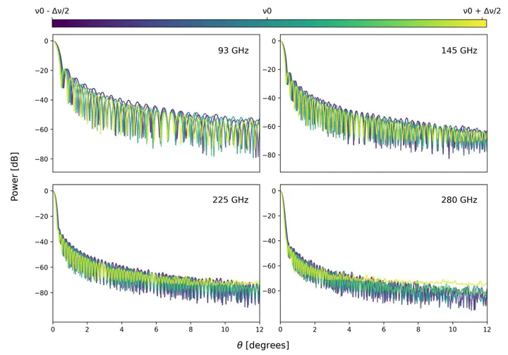
The Simons Observatory (SO) Small Aperture Telescopes (SATs) will observe the Cosmic Microwave Background (CMB) temperature and polarization at six frequency bands. Within these bands, the angular response of the telescope (beam) is convolved with the instrument’s spectral response (commonly called bandpass) and the signal from the sky, which leads to the band-averaged telescope beam response, which is sampled and digitized. The spectral properties of the band-averaged beam depend on the natural variation of the beam within the band, referred to as beam chromaticity. In this paper, we quantify the impact of the interplay of beam chromaticity and intrinsic frequency scaling from the various components that dominate the polarized sky emission on the tensor-to-scalar ratio, r, and foreground parameters. We do so by employing a parametric power-spectrum-based foreground component separation algorithm, namely BBPower, to which we provide beam-convolved time domain simulations performed with the beamconv software while assuming an idealized version of the SO SAT optics. We find a small, 0.02σ, bias on r, due to beam chromaticity, which seems to mostly impact the dust spatial parameters, causing a maximum 0.77σ bias on the dust B-mode spectra amplitude, Ad , when employing Gaussian foreground simulations. However, we find all parameter biases to be smaller than 1σ at all times, independently of the foreground model. This includes the case where we introduce additional uncertainty on the bandpass shape, which accounts for approximately half of the total allowed gain uncertainty, as estimated in previous work for the SO SATs.

Publication
Astrophysical Journal
Click the Cite button above to demo the feature to enable visitors to import publication metadata into their reference management software.
Nadia Dachlythra
Nadia Dachlythra
PhD Student

My research interests include cosmology, beam modelling.

Adriaan Duivenvoorden
Adriaan Duivenvoorden
Postdoc

PhD from Stockholm University in 2019. Now a Flatiron Research Fellow at the CCA.

Alexandre Adler
Alexandre Adler
PhD Student

My research focuses on how to best model beam-related systematics for various experiments.

Jón E. Guðmundsson
Jón E. Guðmundsson
Professor

Professor of astrophysics at the University of Iceland and senior research scientist at Stockholm University.